集團新聞 行業(ye)動态 公示公告(gào)
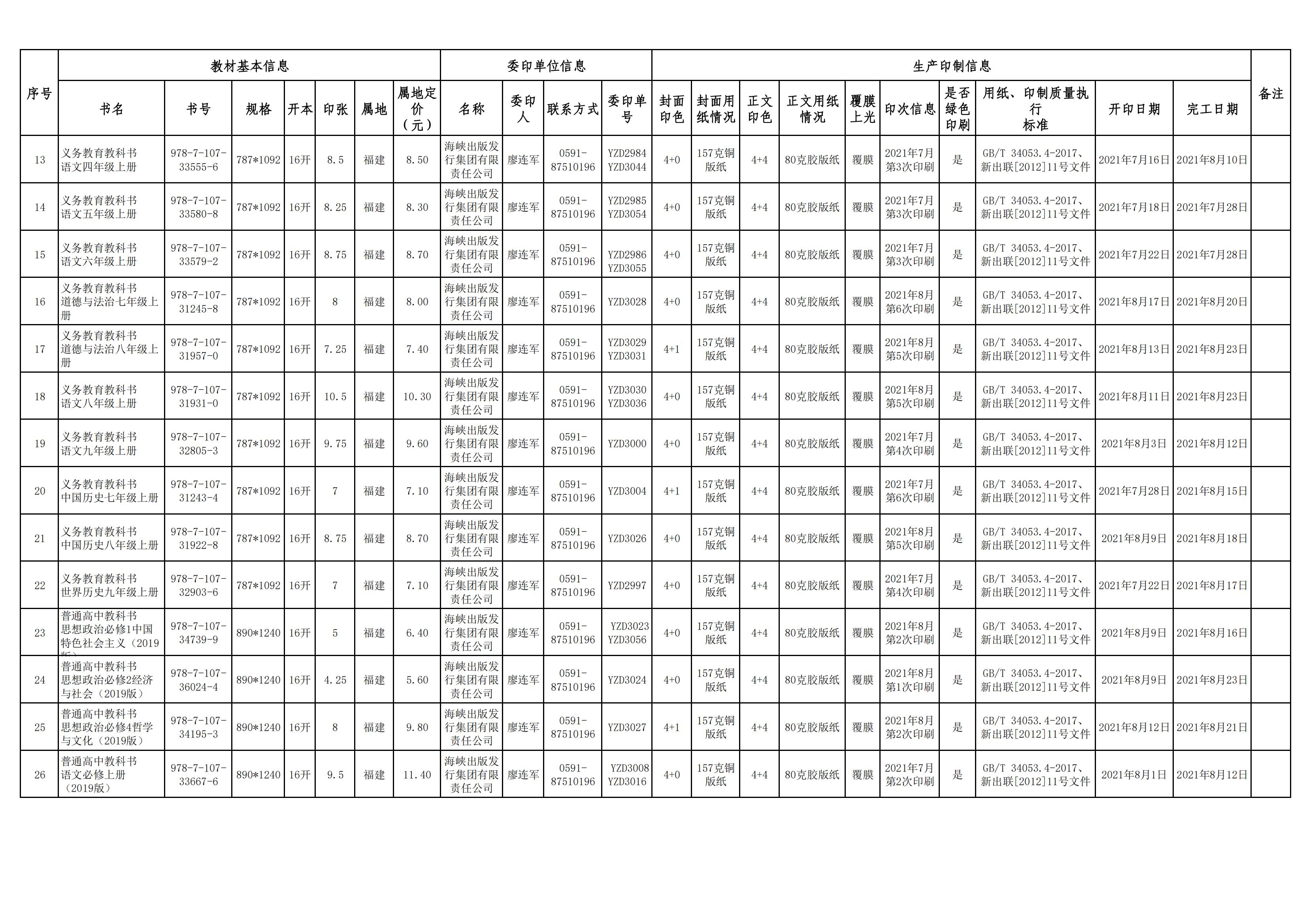
新華2021秋統編三(san)科教材生産印(yìn)制信息明細表(biao)(承印企業🏃♀️填報(bao)).xlsx
上一篇: 福建新(xin)華聯合印務集(jí)團有限公司委(wěi)外印刷及...
下一(yī)篇: 2022年春季統編(bian)三科教材生産(chǎn)印制信息公示(shì)...
手機端
PC端
›